KCTF2023第一题

运行程序,提示输入

image-20240501131455229

拖入IDA,F5之后得出的伪代码可能不太准确,双击进入几个函数之后在回来重新F5几次就可以显示出如下代码,大概是64位程序没能正确识别函数参数

image-20240501131331436

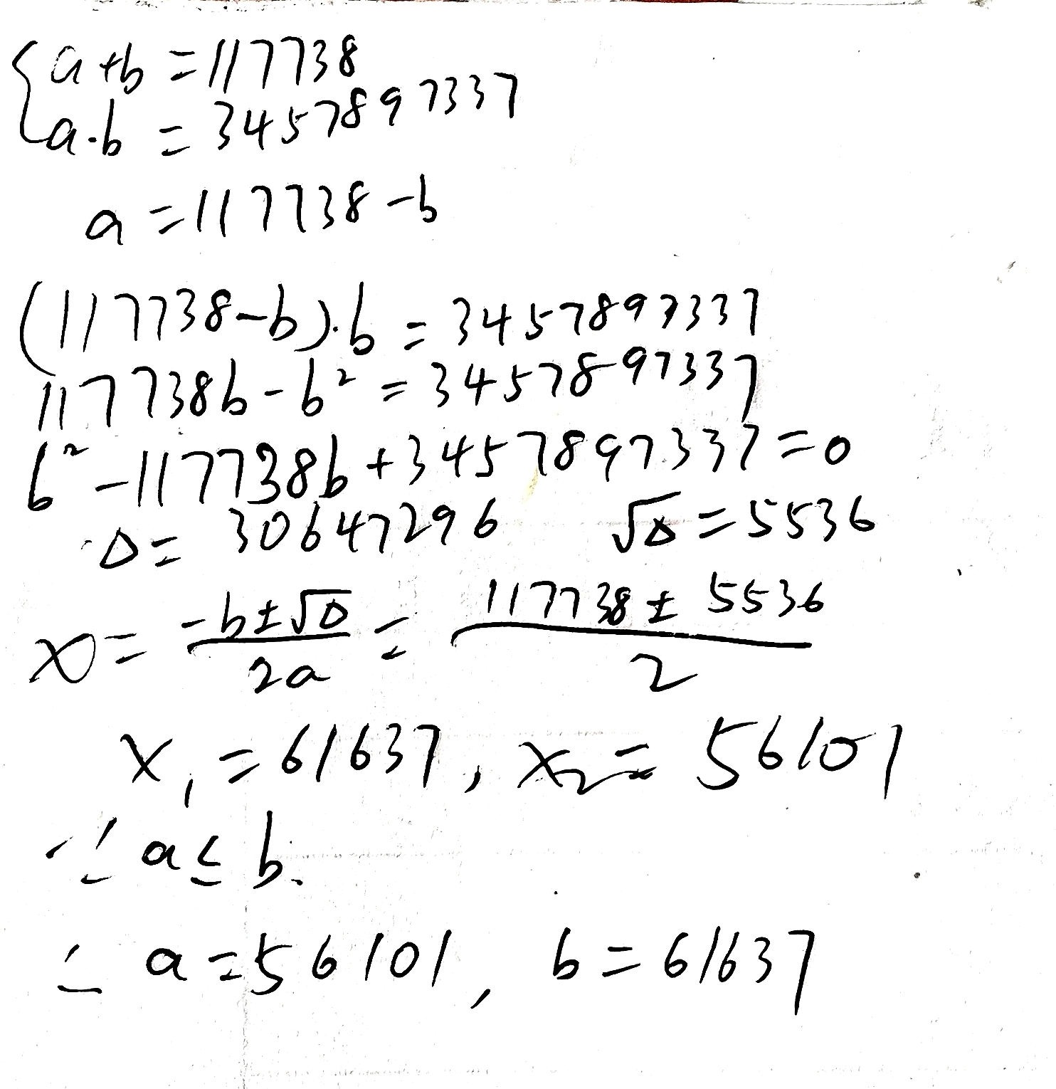
可以看到接收输入格式是数字a-数字b,条件是a > 0, b > 0, a <= b, a+b=117738, a*b=3457897337

由此可解方程或利用z3约束求解器求解

解一元二次方程:

img_20240501131201493

z3约束求解:

image-20240501132035702

得出结果:56101-61637

image-20240501132129389